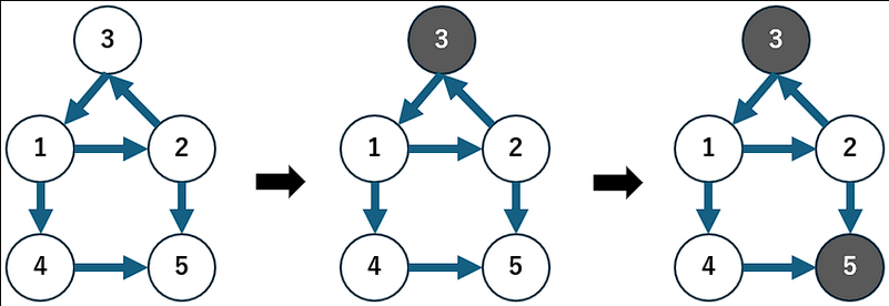
Loading... <div class="panel panel-default collapse-panel box-shadow-wrap-lg"><div class="panel-heading panel-collapse" data-toggle="collapse" data-target="#collapse-f5d82a43fe6f5627baddaa86cfdd78cd15" aria-expanded="true"><div class="accordion-toggle"><span style="">Typora 渲染后的 PDF</span> <i class="pull-right fontello icon-fw fontello-angle-right"></i> </div> </div> <div class="panel-body collapse-panel-body"> <div id="collapse-f5d82a43fe6f5627baddaa86cfdd78cd15" class="collapse collapse-content"><p></p><a href="https://www.fmcraft.top/usr/uploads/2025/12/4031836290.pdf" target="_blank"><span style="color:#337FE5;"><strong>https://www.fmcraft.top/usr/uploads/2025/12/4031836290.pdf</strong></span></a><span style="color:#337FE5;"><strong></strong></span><br /><p></p></div></div></div> --- # abc435 ## [A - Triangular Number](https://atcoder.jp/contests/abc435/tasks/abc435_a) 三角数 ### 题面翻译 **时间限制**:2 秒 / **内存限制**:1024 MiB **分数**:100 分 ### 题目描述 给定一个正整数 $N$。 输出从 1 到 $N$ 的所有整数的和,即 $1+2+\dots+N$。 #### 约束条件 - $1 \le N \le 100$ - $N$ 是整数 #### 输入格式 输入从标准输入按以下格式给出: ``` N ``` #### 输出格式 输出从 1 到 $N$ 的所有整数的和。 #### 样例输入 1 ``` 5 ``` #### 样例输出 1 ``` 15 ``` #### 样例解释 1 因为 $1+2+3+4+5=15$,所以输出 15。 #### 样例输入 2 ``` 1 ``` #### 样例输出 2 ``` 1 ``` #### 样例输入 3 ``` 29 ``` #### 样例输出 3 ``` 435 ``` ### 思考 很简单,方法在题面中已经给出了,即 $\sum_{i=1}^{n} i$ ,这个算法的时间复杂度是 $O(n)$ 的。 也可以使用高斯求和的方法, $\frac{n(1+n)}{2}$。 我太懒了,使用高斯求和的方法。 ### 代码 ```cpp #include <bits/stdc++.h> using namespace std; int n,x,i,s; int main(){ cin>>n; for(i=1;i<=n;i++) s+=i; cout<<s; } ``` ## [B - No-Divisible Range](https://atcoder.jp/contests/abc435/tasks/abc435_b) 无因数区间 ### 题目翻译 **时间限制**:2 秒 / **内存限制**:1024 MiB **分数**:200 分 #### 题目描述 给定一个长度为 $N$ 的正整数序列 $A=(A_1,A_2,\dots,A_N)$。 请找出满足 $1 \le l \le r \le N$ 的整数对 $(l,r)$ 的数量,要求这些整数对满足如下条件: 对于所有满足 $l \le i \le r$ 的整数 $i$,$A_i$ **不是**区间 $[l,r]$ 内所有元素的和的约数。 #### 约束条件 - $1 \le N \le 50$ - $1 \le A_i \le 1000$ - 所有输入值均为整数 #### 输入格式 输入数据通过标准输入给出,格式如下: ``` N A_1 A_2 … A_N ``` #### 输出格式 输出满足条件的整数对 $(l,r)$ 的数量。 #### 样例输入 1 ``` 5 8 6 10 5 7 ``` #### 样例输出 1 ``` 6 ``` #### 样例解释 1 序列 $A=(8,6,10,5,7)$。 例如,整数对 $(l,r)=(1,2)$ 满足条件:区间和为 $A_1+A_2=14$,$A_1=8$ 和 $A_2=6$ 都不是 14 的约数。 而整数对 $(l,r)=(1,3)$ 不满足条件:区间和为 $A_1+A_2+A_3=24$,$A_1=8$ 是 24 的约数。 满足条件的整数对为 $(1,2),(1,4),(2,3),(2,4),(3,5),(4,5)$,共 6 个,因此输出 6。 #### 样例输入 2 ``` 3 1 1 1 ``` #### 样例输出 2 ``` 0 ``` ### 思考 就不打炮打蚊子了。 直接暴力枚举 $l$ 到 $r$,求和为 $S$ ,公式为 $S=\sum_{i=l}^{r} a_i$,然后判断从 $l$ 到 $r$ 如果能被 $S$ 整除,那这个就不是一个无因数区间,不应该计入到答案,否则就计入到答案,最后输出即可。 警告:暴力枚举 $l$ 到 $r$ 的时候,需要排除 $l > r$ 的状态,即 `if(l>r) continue;`。 时间复杂度为 $O(n^3)$,题目规定 $N \leq 50$,可以通过。 ### 代码 ```cpp #include <bits/stdc++.h> using namespace std; int n,i,a[60],fl,s,t,w,ans; int main(){ cin>>n; for(i=1;i<=n;i++) cin>>a[i]; for(t=1;t<=n;t++) for(w=1;w<=n;w++){ if(t>w) continue; fl=1;s=0; for(i=t;i<=w;i++) s+=a[i]; for(i=t;i<=w;i++) if(s%a[i]==0) fl=0; ans+=fl; } cout<<ans; } ``` ## [C - Domino](https://atcoder.jp/contests/abc435/tasks/abc435_c) 多米诺 ### 题面翻译 **时间限制**:2 秒 / **内存限制**:1024 MiB **分数**:300 分 #### 题目描述 有 $N$ 张多米诺骨牌排成一行,放置在数轴上。第 $i$ 张骨牌位于坐标 $i$ 处,高度为 $A_i$。 当第 $i$ 张骨牌向右倒下时,坐标在 $i$ 到 $i+A_i-1$(包含两端)范围内的所有骨牌都会向右倒下。 当第一张骨牌向右倒下时,总共会有多少张骨牌倒下? #### 约束条件 - $1 \le N \le 5 \times 10^5$ - $1 \le A_i \le N$ - 所有输入值均为整数 #### 输入格式 输入数据通过标准输入给出,格式如下: ``` N A_1 A_2 … A_N ``` #### 输出格式 输出当第一张骨牌向右倒下时,倒下的骨牌总数。 #### 样例输入 1 ``` 4 3 1 4 1 ``` #### 样例输出 1 ``` 4 ``` #### 样例解释 1 当第一张骨牌向右倒下时,第二张和第三张骨牌也会向右倒下。当第三张骨牌向右倒下时,第四张骨牌也会倒下。 #### 样例输入 2 ``` 9 1 4 1 4 2 1 3 5 6 ``` #### 样例输出 2 ``` 1 ``` #### 样例解释 2 当第一张骨牌向右倒下时,没有其他骨牌会倒下。 #### 样例输入 3 ``` 10 5 4 3 2 1 1 2 3 4 5 ``` #### 样例输出 3 ``` 5 ``` ### 思考 数据范围 $N \le 5\times10^5$,暴力模拟每张骨牌的连锁倒下会超时,不能用 $O(N^2)$ 的暴力枚举了,必须用 $O(N)$ 贪心策略。 核心是维护**当前最远覆盖位置**和**遍历边界**: 1. 第一张骨牌倒下的初始覆盖范围是 $1+A[1]-1$,记为 `ma`,用 `tmp` 记录当前需要遍历的右边界; 2. 从第 2 张骨牌开始,在 `tmp` 范围内遍历,不断更新 `ma` 为所有骨牌能覆盖的最远位置; 3. 遍历到 `tmp` 时,将 `tmp` 更新为新的 `ma`,扩展遍历范围; 4. 最终答案取 `ma` 和 $N$ 的较小值,避免覆盖范围超出骨牌总数。 *~~小声:我看到时间限制为 2s 的时候以为不用贪心,就用暴力枚举,结果 TLE 了我操,∵数据范围是指数级的,是 $2.5 \times {10}^{11}$,但实际上计算机每秒大约只能做 $10^9$ 次,∴会超时。~~* ### 代码 ```cpp #include <bits/stdc++.h> using namespace std; const int N=500010; int a[N],n,i,ma,tmp; int main(){ cin>>n; for(i=1;i<=n;i++) cin>>a[i]; if(n==0) return cout<<0,0; ma=1+a[1]-1; tmp=ma; i=2; while(i<=tmp&&i<=n){ if(i+a[i]-1>ma) ma=i+a[i]-1; if(i==tmp) tmp=ma; i++; } if(ma>n) cout<<n; else cout<<ma; } ``` ## [D - Reachability Query 2](https://atcoder.jp/contests/abc435/tasks/abc435_d) 可达性查询 2 ### 题面翻译 **时间限制**:3 秒 / **内存限制**:1024 MiB **分数**:425 分 #### 题目描述 给定一个有 $N$ 个顶点、$M$ 条边的有向图。顶点编号为 $1$ 到 $N$,第 $i$ 条边是从顶点 $X_i$ 指向顶点 $Y_i$ 的有向边。初始时,所有顶点均为白色。 按顺序处理 $Q$ 个查询,每个查询为以下两种类型之一: 1. `1 v`:将顶点 $v$ 染成黑色。 2. `2 v`:判断从顶点 $v$ 出发,沿着边遍历是否能够到达某个黑色顶点。 #### 约束条件 - $1 \le N \le 3 \times 10^5$ - $0 \le M \le 3 \times 10^5$ - $1 \le Q \le 3 \times 10^5$ - $1 \le X_i, Y_i \le N$ - 图中无自环(即 $X_i \neq Y_i$)。 - 图中无重边(即所有 $(X_i, Y_i)$ 互不相同)。 - 查询中,$1 \le v \le N$。 - 所有输入值均为整数。 #### 输入格式 输入数据通过标准输入给出,格式如下: ``` N M X_1 Y_1 ⋮ X_M Y_M Q query_1 ⋮ query_Q ``` 其中 `query_i` 表示第 $i$ 个查询,格式为以下两者之一: ``` 1 v 2 v ``` #### 输出格式 设第二类查询的数量为 $q$,输出 $q$ 行结果: - 对于第 $i$ 个第二类查询,若从顶点 $v$ 能到达黑色顶点,输出 `Yes`;否则输出 `No`。 #### 样例输入 1 ``` 5 6 1 2 2 3 3 1 4 5 1 4 2 5 5 1 3 2 1 2 4 1 5 2 4 ``` #### 样例输出 1 ``` Yes No Yes ``` #### 样例解释 初始时,给定的图如最左侧的图所示。 第一个查询将顶点 3 染成黑色(如中间的图所示)。 第二个查询中,从顶点 1 可以到达黑色顶点 3,故输出 `Yes` 第三个查询中,从顶点 4 无法到达任何黑色顶点,故输出 `No`。 第四个查询将顶点 5 染成黑色(如最右侧的图所示)。 第五个查询中,从顶点 4 可以到达黑色顶点 5,故输出 `Yes`。  ### 思考 很明显,这是一道图论题,其实我个人做的图论题也不多,我首先感觉是 [P3916 图的遍历 - 洛谷](https://www.luogu.com.cn/problem/P3916) 的升级版,多了染色和一些杂七杂八的东西,抽象。 *~~小声:我刚看到每个查询的时候我还以为他考的是并查集。~~* 一个经典的解决动态图可达性问题的方法是使用 `bitset` 或 分块,但 $N=3 \times 10^5$,`bitset` 太大($N=3 \times 10^5 \space \text{bits}$ 约 $37.5 \space \text{KB}$ 每个顶点,总共 $N=3 \times 10^5$ 个顶点就是 $10^{10} \space \text{bits} \approx 1.25 \text{GB}$,太特么大了)。 我草比赛怎么结束了? ## [E - Cover query](https://atcoder.jp/contests/abc435/tasks/abc435_e) 覆盖查询 ### 题面翻译 **时间限制**:2 秒 / **内存限制**:1024 MiB **分数**:450 分 #### 题目描述 有 $N$ 个单元格从左到右排成一行。 从左数第 $i$ 个单元格($1 \le i \le N$)被称为单元格 $i$。 初始时,所有单元格均为白色。 按顺序处理 $Q$ 个查询。 第 $i$ 个查询($1 \le i \le Q$)的内容如下: 给定两个整数 $L_i$ 和 $R_i$($1 \le L_i \le R_i \le N$)。 将单元格 $L_i, L_i+1, \dots, R_i$ 全部染成黑色。 在此操作中,原本白色的单元格会被染成黑色,原本黑色的单元格保持黑色不变。 操作完成后,求出 $N$ 个单元格中仍为白色的单元格数量。 #### 约束条件 - $1 \le N \le 10^9$ - $1 \le Q \le 2 \times 10^5$ - $1 \le L_i \le R_i \le N$ - 所有输入值均为整数 #### 输入格式 输入数据通过标准输入按以下格式给出: ``` N Q L_1 R_1 L_2 R_2 ⋮ L_Q R_Q ``` #### 输出格式 输出 $Q$ 行。 第 $i$ 行($1 \le i \le Q$)输出第 $i$ 个查询的答案。 #### 样例输入 1 ``` 10 5 3 5 8 9 5 8 2 9 6 6 ``` #### 样例输出 1 ``` 7 5 3 2 2 ``` #### 样例解释 初始时,10 个单元格从左到右排成一行。 第一个查询将单元格 3、4、5 染成黑色。操作后,白色单元格为 1、2、6、7、8、9、10,共 7 个。 第二个查询将单元格 8、9 染成黑色。操作后,白色单元格为 1、2、6、7、10,共 5 个。 第三个查询将单元格 5、6、7、8 染成黑色。操作后,白色单元格为 1、2、10,共 3 个。 第四个查询将单元格 2 到 9 染成黑色。操作后,白色单元格为 1、10,共 2 个。 第五个查询将单元格 6 染成黑色。操作后,白色单元格仍为 1、10,共 2 个。 因此,按顺序输出 7、5、3、2、2。 #### 样例输入 2 ``` 1000000000 1 1 500000000 ``` #### 样例输出 2 ``` 500000000 ``` ### 思考 [待补] ## [F - Cat exercise](https://atcoder.jp/contests/abc435/tasks/abc435_f) 猫咪的锻炼 ### 题面翻译 **时间限制**:2 秒 / **内存限制**:1024 MiB **分数**:550 分 #### 题目描述 有 $N$ 座猫塔从左到右排成一行,从左数第 $i$ 座猫塔($1 \le i \le N$)的高度为 $P_i$。 其中,序列 $(P_1,P_2,\dots,P_N)$ 是 $(1,2,\dots,N)$ 的一个排列。 从左数第 $i$ 座猫塔和第 $j$ 座猫塔之间的距离定义为 $|i-j|$。 初始时,有一只猫位于高度为 $N$ 的猫塔顶端。 高桥想要锻炼这只猫,方式是**重复选择并移除猫塔**。 当高桥移除一座猫塔时,猫的移动规则如下: 1. 若猫**不在**被移除的猫塔顶端,则猫保持不动。 2. 若猫**在**被移除的猫塔顶端,且该猫塔的左侧或右侧至少有一座猫塔存在,则猫会移动到以下目标猫塔: - 目标猫塔的范围是:从被移除的猫塔出发,通过**重复移动到相邻猫塔**能够到达的所有猫塔(不包含被移除的猫塔)。 - 目标猫塔是上述范围内**高度最高**的猫塔。 - 此时,猫的移动距离计入总距离,该距离等于移动前所在猫塔和移动后所在猫塔之间的距离(与移动过程中经过的猫塔高度、数量无关)。 3. 若猫**在**被移除的猫塔顶端,且该猫塔的左右两侧都没有猫塔存在,则猫会跳进高桥的怀里,锻炼就此结束。这种情况下,不计入任何移动距离。 **注意**:被移除的猫塔留下的空位不会被填补。也就是说,初始时从左数第 $i$ 座猫塔的相邻猫塔仅为第 $i-1$ 和第 $i+1$ 座猫塔(若存在),后续不会因为其他猫塔被移除而与非原本相邻的猫塔变成相邻关系。 请你求出,锻炼结束前猫能够移动的**最大可能总距离**。 #### 约束条件 - $1 \le N \le 2 \times 10^5$ - $(P_1,P_2,\dots,P_N)$ 是 $(1,2,\dots,N)$ 的一个排列 - 所有输入值均为整数 #### 输入格式 输入数据通过标准输入按以下格式给出: ``` N P_1 P_2 … P_N ``` #### 输出格式 输出锻炼结束前猫能够移动的最大可能总距离。 #### 样例输入 1 ``` 5 5 3 4 1 2 ``` #### 样例输出 1 ``` 5 ``` #### 样例解释 1 初始时,猫塔的高度从左到右依次为 5、3、4、1、2。 下文将从左数第 $i$ 座猫塔($1 \le i \le 5$)简称为猫塔 $i$。 初始时,猫位于猫塔 1 的顶端(高度为 5)。 若高桥按照 **1 → 2 → 3 → 5 → 4** 的顺序移除猫塔,猫的移动过程如下: 1. 移除猫塔 1:从猫塔 1 出发,通过重复移动到相邻猫塔可到达的猫塔为 2、3、4、5(不含猫塔 1)。其中高度最高的是猫塔 3(高度为 4),猫移动到该猫塔。 2. 移除猫塔 2:猫不在该猫塔顶端,保持不动。 3. 移除猫塔 3:从猫塔 3 出发,可到达的猫塔为 4、5(不含猫塔 3)。其中高度最高的是猫塔 5(高度为 2),猫移动到该猫塔。 4. 移除猫塔 5:从猫塔 5 出发,可到达的猫塔仅有 4(不含猫塔 5),猫移动到该猫塔。 5. 移除猫塔 4:猫的左右两侧都没有猫塔,跳进高桥怀里,锻炼结束。 此时,猫的总移动距离为 $|1-3| + |3-5| + |5-4| = 5$。不存在任何一种猫塔移除顺序,能让猫的总移动距离达到 6 或以上,因此输出 5。 #### 样例输入 2 ``` 3 1 3 2 ``` #### 样例输出 2 ``` 1 ``` #### 样例解释 2 初始时,猫塔的高度从左到右依次为 1、3、2。 下文将从左数第 $i$ 座猫塔($1 \le i \le 3$)简称为猫塔 $i$。 初始时,猫位于猫塔 2 的顶端(高度为 3)。 若高桥按照 **2 → 3** 的顺序移除猫塔,猫的移动过程如下: 1. 移除猫塔 2:从猫塔 2 出发,可到达的猫塔为 1、3(不含猫塔 2)。其中高度最高的是猫塔 3(高度为 2),猫移动到该猫塔。 2. 移除猫塔 3:猫的左右两侧都没有猫塔,跳进高桥怀里,锻炼结束。 此时,猫的总移动距离为 $|2-3|=1$,这是最大可能的总距离。 **注意**:移除猫塔 2 后,猫塔 1 和猫塔 3 **不会被视为相邻**。 ### 思考 [待补] ## [G - Domino Arrangement](https://atcoder.jp/contests/abc435/tasks/abc435_g) 多米诺序列 ### 题面翻译 **时间限制**:2 秒 / **内存限制**:1024 MiB **分数**:600 分 ### 题目描述 有 $N$ 个单元格从左到右依次编号为 $1$ 到 $N$。初始时,所有单元格均未被涂上任何颜色。 共有 $M$ 种颜色,对于第 $i$ 种颜色,你可以选择单元格区间 $[L_i, R_i]$(即 $L_i, L_i+1, \dots, R_i$)内**任意数量**的单元格,将其涂为该颜色(可选择涂 0 个、1 个或多个)。 请计算满足以下条件的涂色方案数,并将结果对 $998244353$ 取模: - 对于每一个单元格 $i$: - 若该单元格被涂上了某一种颜色,则其左侧相邻单元格 $i-1$ 和右侧相邻单元格 $i+1$ 中,**恰好有一个** 单元格被涂成了与 $i$ 相同的颜色; - 特别说明:单元格 $0$ 和 $N+1$ 被视为未被任何颜色涂色(即不存在的单元格)。 ### 约束条件 - $1 \le N,M \le 5 \times 10^5$ - $1 \le L_i \le R_i \le N$ - 所有输入值均为整数 ### 输入格式 输入数据从标准输入按以下格式给出: ``` N M L_1 R_1 L_2 R_2 ⋮ L_M R_M ``` ### 输出格式 输出满足条件的涂色方案数(对 $998244353$ 取模)。 ### 样例输入 1 ``` 5 2 1 3 1 5 ``` ### 样例输出 1 ``` 11 ``` ### 样例解释 1 第 1 种颜色可涂色的单元格范围是 $1,2,3$,第 2 种颜色可涂色的单元格范围是 $1,2,3,4,5$。 满足条件的涂色方案共有 11 种。  ### 样例输入 2 ``` 3 3 1 1 2 2 3 3 ``` ### 样例输出 2 ``` 1 ``` ### 样例解释 2 唯一满足条件的方案是:不涂任何单元格(若给任意单元格涂色,都无法满足“恰好一个相邻单元格同色”的条件)。 ### 样例输入 3 ``` 500000 10 1 499999 2 499998 3 499997 4 499996 5 499995 6 499994 7 499993 8 499992 9 499991 10 499990 ``` ### 样例输出 3 ``` 775503999 ``` ### 补充说明 答案需对 $998244353$ 取模后输出。 ### 思考 [待补] 最后修改:2025 年 12 月 06 日 © 允许规范转载 打赏 赞赏作者 支付宝微信 赞 如果觉得我的文章对你有用,请随意赞赏